本指导原则旨在指导注册申请人进行无源植入性医疗器械稳定性研究及注册申报资料的准备及撰写,同时也为技术审评部门提供参考。
本指导原则是对无源植入性医疗器械稳定性研究的一般要求,申请人应依据产品的具体特性确定其中内容是否适用。若不适用,需具体阐述理由及相应的科学依据,并依据产品的具体特性对注册申报资料的内容进行充实和细化。
本指导原则是供注册申请人和技术审评人员使用的指导性文件,但不包括审评审批所涉及的行政事项,亦不作为法规强制执行,应在遵循相关法规的前提下使用本指导原则。如果有能够满足相关法规要求的其他方法,也可采用,但宜提供详细的研究资料和验证资料。如果有其他法规和指导性文件涉及某类医疗器械稳定性研究的具体规定,建议注册申请人结合本指导原则一并使用。药械组合医疗器械中药物部分稳定性研究还宜参考药品相关指导性文件。
本指导原则是在现行法规和标准体系以及当前认知水平下制定的,随着法规和标准的不断完善,以及科学技术的不断发展,本指导原则相关内容也将进行适时的调整。
本指导原则是原国家食品药品监督管理总局发布的《无源植入性医疗器械货架有效期注册申报资料指导原则》(2017年修订版)的再修订版。
一、适用范围
本指导原则主要适用于无源植入性医疗器械的稳定性研究及相关注册申报资料的准备。稳定性研究一般包含货架有效期、使用稳定性和运输稳定性。无源非植入性医疗器械根据产品实际情况和风险分析结果参照适用部分执行。
货架有效期和运输稳定性研究包含器械本身性能稳定性和包装性能稳定性两方面。当医疗器械材料比较稳定时,宜主要考虑包装稳定性的验证。若某一医疗器械的产品性能和包装性能不会随时间推移而发生显著性改变,则可能不需进行货架有效期验证。
二、注册审查要点
(一)货架有效期研究
1.货架有效期影响因素
影响医疗器械货架有效期的因素有很多,此处列举了部分与无源植入性医疗器械密切相关的影响因素,但不仅限于以下内容:
外部影响因素主要包括:
- 储存条件,例如温度、湿度、光照、通风情况、气压、污染等;
- 运输条件,例如运输过程中的震动、冲撞。
内部影响因素主要包括:
- 医疗器械中各原材料/组件自身随时间的推移而发生退化的特性,如某些高分子材料、某些药械组合产品中的药物成分等;
- 医疗器械中各原材料/组件之间可能发生的相互作用;
- 医疗器械中各原材料/组件与包装材料(包括保存介质)之间可能发生的相互作用;
- 医疗器械中各原材料/组件、包装材料因生产工艺而造成的影响,如生产过程中采用的辐照灭菌工艺等;
- 医疗器械中含有的放射性物质和其放射衰变后的副产物对医疗器械中原材料/组件、包装材料的影响;
- 无菌包装产品中微生物屏障的保持能力。
内部因素和外部因素均可不同程度地影响医疗器械产品的技术性能指标,当不能达到预期性能时可能造成器械失效。注册申请人宜尽可能将各因素进行有效控制,使其对医疗器械技术性能指标造成的影响降至最低。
此外,产品设计开发时还需考虑以下因素对货架有效期设定的影响:
- 原辅材料的影响,如供应商、质量标准、稳定性等;
- 生产方式,采用不同方式生产的同一医疗器械产品可能具有不同的货架有效期;
- 生产环境,如无菌医疗器械生产场所的洁净度、温度和湿度、微生物及悬浮粒子负荷等;
- 包装,例如在不同尺寸包装容器中的液体产品可能因为与容器接触的比表面积不同而具有不同的货架有效期;
- 其他影响因素,如生产设备改变的影响及设备所用清洗剂、脱模剂的影响。
当以上因素发生改变时,可能导致货架有效期的改变,必要时重新验证。
货架有效期验证过程
注册申请人需对货架有效期进行研究,证明在其规定的贮存运输条件下,产品在货架有效期内满足使用要求。
医疗器械货架有效期的验证贯穿该器械研发的整个过程,并在产品的验证、改进过程中不断进行确认。
注册申请人需合理设计医疗器械货架有效期验证方案,并依据方案开展验证,当验证结果不支持设定的货架有效期时,可对产品进行改进或根据已有的验证结果重新设定货架有效期。
货架有效期验证内容
3.1验证试验类型
医疗器械货架有效期的验证试验通常可分为加速稳定性试验、实时稳定性试验两类。
3.1.1加速稳定性试验
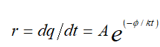
加速稳定性试验是将样品贮存在某一较高的温度,以缩短时间来模拟实时老化的试验。
加速稳定性试验设计是建立在假设材料变质所涉及的化学反应遵循阿列纽斯(Arrhenius)反应速率函数基础上的。该函数以碰撞理论为基础,确认化学反应产生变化的反应速率的增加或降低按照以下公式进行:

r:反应进行的速率;A:材料的常数(频率因子);φ:表观活化能(eV);k:波尔兹曼常数(0.8617×10-4eV/K);t:绝对温度。
需要注意的是,并不是所有材料/组件的老化均符合该函数的热力学老化特性。注册申请人在使用该函数进行加速稳定性试验设计之前需考虑其适用性。
大量化学反应的研究结果表明温度升高或降低10℃会导致化学反应速率增加一倍或减半。则可根据阿列纽斯反应速率函数建立加速老化简化公式:

AAT:加速老化时间;RT:实时老化时间;Q10:温度升高或降低10℃的老化系数;TAA:加速老化温度;TRT:预设的实际贮存温度。
上述公式反映了加速稳定性试验中加速老化时间与对应的实时老化时间的关系。
其中,Q10一般设定为2,也可保守设定为1.8。如注册申请人在加速稳定性试验中设定的Q10大于2,则需同时提供详细的相关研究资料。
设定较高的加速老化温度TAA可减少加速稳定性试验的时间。但是,由于较高的温度(如高于聚合物玻璃化转变温度)可能导致医疗器械原材料、组件和/或包装材料的性质发生改变或引发多级或多种化学反应,造成试验结果的偏差。因此,加速老化温度一般不宜超过60℃。如注册申请人在加速稳定性试验中设定了更高的加速老化温度,亦需提供详细的相关研究资料。
TRT宜能够代表产品实际贮存条件下的温度,可结合预期储存温度范围、已有同类产品历史数据、器械和/或包装材料稳定性数据等设定TRT,并提供制定依据。如产品具有专用的标准或指导文件规定TRT的,宜优先采用。
有些产品不适用于上述加速稳定性试验设计的,需要进行实时稳定性试验,如某些药械组合医疗器械产品中的药物成分。
3.1.2 实时稳定性试验
实时稳定性试验是将样品贮存在规定的实际贮存条件下进行的试验。实时稳定性试验中,注册申请人宜根据产品的实际生产、运输和贮存情况确定适当的温度、湿度、光照等条件,在设定的观察时间点对产品进行测试。
申请人可结合预期储存温度范围、已有同类产品历史数据、器械和/或包装材料稳定性数据等设定实时老化温度。如产品具有专用的标准或指导文件规定实时老化温度的,宜优先采用。
实时稳定性试验结果是验证产品货架有效期的直接证据。当加速稳定性试验结果与其不一致时,应以实时稳定性试验结果为准。
3.1.3 其他试验条件的考虑
在加速及实时稳定性研究中,申请人宜根据产品特性和预期贮存条件进行评估选择合适的相对湿度,并提供选择的理由和依据。一般建议相对湿度60%±10%。若湿度在有效期内对产品性能影响显著,建议申请人设置高湿度和/或低湿度等条件,对产品进行最不利条件性能验证。若相对湿度在有效期内对产品影响不大,可不对相对湿度进行特殊要求。
如有其他因素显著影响产品的稳定性,建议设定适宜的试验条件进行验证,如光照等。
3.2验证试验测试/评价项目
无论加速稳定性试验还是实时稳定性试验,注册申请人均需在试验方案中设定测试项目、测试方法及判定标准。当没有判定标准时,可采用零点时间性能数据作为测试项目的参照指标。
测试项目仅需评估产品随时间老化的相关性能,包括器械自身性能测试和包装系统性能测试两方面。其中包装系统性能测试主要目的是为了验证包装系统对微生物的屏障性能,即无菌状态/微生物限度要求的保持。如涉及产品的生物相容性随时间可能发生改变的,还需进行生物学评价。
3.3进行验证试验的产品
医疗器械货架有效期验证试验宜采用与常规生产相同的终产品进行,适宜项目(如包装系统性能)可采用无产品或模拟产品的包装进行验证。
注册申请人可对试验产品进行设计最差条件下的验证试验以保证试验产品可代表最恶劣的生产情况,如进行一个标准的灭菌周期后,附加一个或多个灭菌周期,或采用几种不同的灭菌方法。
3.4参考标准
建议医疗器械注册申请人尽可能采用国家标准、行业标准和公认的国际标准中规定的方法/措施对其医疗器械产品货架有效期进行验证,以减少验证结果的偏差,提高验证结论的准确性。附录中列举了可能在货架有效期验证过程中涉及的部分标准,但不仅限于所列内容。
3.5货架有效期研究资料要求
注册申请人在无源植入性医疗器械注册时需提供详细的货架有效期研究资料,一般包含试验条件(温度/湿度、运输条件)、测试项目、判定标准、加速老化参数(如适用)、测试时间点、样品型号规格、批次及样本量、测试数据结果及分析、试验结论等。
注册申请人若使用其生产的其他医疗器械产品的货架有效期研究资料代替申报产品研究资料,需论证适宜性。
(二)使用稳定性
宜将使用稳定性与货架有效期研究进行区分。产品应在正常使用、维护(如适用)情况下的生命周期内维持其安全性和有效性。植入部位和预期用途不同,影响其使用稳定性的因素也不同,适用时需考虑植入操作的影响。对于无源植入性医疗器械,使用稳定性一般可在性能研究中开展验证。
(三)运输稳定性
运输稳定性通常通过模拟运输试验进行,通过模拟运输过程中环境(温度、湿度、气压等)变化、跌落、碰撞、振动、加速度等,产品不会发生性能、功能改变,包装系统具有保护产品的能力。经过模拟试验后,观察包装外观是否有不可接受的异常现象,测试产品性能功能是否符合要求,证明运输过程中的环境条件不会对医疗器械的特性和性能(包括完整性和清洁度)造成不利影响。对于含液体的医疗器械,还需考虑低温或冻融情况。
运输过程可能影响货架有效期。如影响,模拟运输可与货架有效期合并进行。模拟运输可在老化前或老化后进行。在老化前还是在老化后进行,取决于是模拟先运输至医院储存、还是模拟在生产商处储存然后运输两种不同的情况。
三、参考文献
[1] 《医疗器械监督管理条例》(中华人民共和国国务院令第739号)[Z].
[2] 《医疗器械注册与备案管理办法》(国家市场监督管理总局令第47号)[Z].
[3] 《关于公布医疗器械注册申报资料要求和批准证明文件格式的公告》(国家药品监督管理局2021年第121号)[Z].
[4] 医疗器械安全和性能的基本原则.(国家药品监督管理局2020年第18号) [Z].
[5] Shelf Life of Medical Devices[Z],FDA Guidance,1991
[6] Container and Closure System Integrity Testing in Lieu of Sterility Testing as a Component of the Stability Protocol for Sterile Products[Z], FDA, 2008.
[7] Guidance Technical Files and Design Dossiers for Non Active Medical Devices [Z]. TuV SuD,2008.
[8] “USE-BY” DATE[Z]. MEDDEV 2.2/3 rev.3.1998.
[9] ASTM F 1980(07),Standard Guide for Accelerated Aging of Sterile Barrier Systems for Medical Devices[S].
[10] 《化学药物稳定性研究技术指导原则》[Z],国家药品监督管理局,2005.
[11] 王春仁.医疗器械加速老化实验确定有效期的基本原理和方法[J].中国医疗器械信息.2008,14(5):67-70.